Home » Without Label » Kasunduan Sa Pagpapagawa Ng Bahay Format : Lokal na kasunduan - Kasunduan sa pagpapaupa sa mga kinauukulan nito, ang kasunduang ito ay ginawa at nilagdaan ng dalawang panig na si rowena b.
Kasunduan Sa Pagpapagawa Ng Bahay Format : Lokal na kasunduan - Kasunduan sa pagpapaupa sa mga kinauukulan nito, ang kasunduang ito ay ginawa at nilagdaan ng dalawang panig na si rowena b.
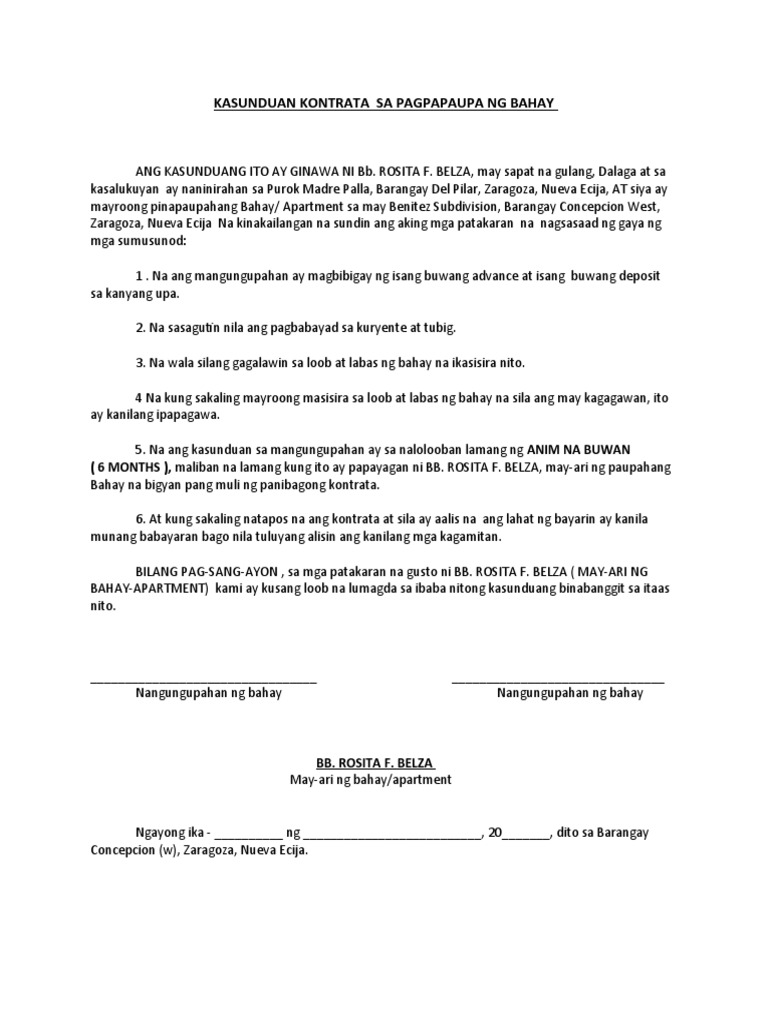
Kasunduan Sa Pagpapagawa Ng Bahay Format : Lokal na kasunduan - Kasunduan sa pagpapaupa sa mga kinauukulan nito, ang kasunduang ito ay ginawa at nilagdaan ng dalawang panig na si rowena b.. Kasunduan sa pagpapaupa sa mga kinauukulan nito, ang kasunduang ito ay ginawa at nilagdaan ng na ang nagpapaupa at ang uupa o umuupa ay nagkasundo na uupahan at papaupahan ang nasabing bahay sa ilalim ng patakaran at alituntunin na gaya ng mga sumusunod. Kasunduan format / kasunduan sa pagpapaupa : Kasunduan sa pagbabayad ng renta. Kontrata o kasunduan na bibili ng bahay sa fudousanya. Kasunduan sa pagpapaupa ng commercial space.
Kasunduan sa paggamit at pahintulot sa paggamit ng jw.org website. Paano makalikha ng isang talagang propesyonal na receive the template in another format, for free! Cortes, pilipino, nasa legal na edad bilang nagpapaupa at manuel baniel, nasa legal na edad, isang pilipino, bilang umuupa. Kontrata o kasunduan na bibili ng bahay sa fudousanya. Magbigay ng dokumento mula sa kompanya ng seguro na nagdedetalye na ang kanilang saklaw o kasunduan (settlement) ay tantiya ng kontratista para sa pagpapaayos ng bahay na dulot ng lindol (kung naaangkop) * resibo para sa pagpapagawa o paglilinis * iba pang katibayan ng pagkawala ng.
Kasunduan Sa Pagpapagawa Ng Bahay Format : KASUNDUAN SA ... from lh5.googleusercontent.com Contextual translation of kasunduan sa pagpapautang ng pera into english. Use the download button below or simple online reader. Magbigay ng dokumento mula sa kompanya ng seguro na nagdedetalye na ang kanilang saklaw o kasunduan (settlement) ay tantiya ng kontratista para sa pagpapaayos ng bahay na dulot ng lindol (kung naaangkop) * resibo para sa pagpapagawa o paglilinis * iba pang katibayan ng pagkawala ng. Samantala, ang katawan ay nilalagyan ng mga detalye ng mga kailangang gawin at ang badyet ang proyektong pag sasaayos ng hardin ay pangangalapan ng pondong galing sa gagawing pagpapagawa ng mga bagong lagayan ng mga tanim sa vertical garden. Hemegony, loan agreement, debt settlement, pledge agreement. Sa mga kinauukulan nito 9. Subaybayan ang kwento nila angela at mike. Ano ang kasunduan sa pagbili para sa isang bahay?
Sa mga kinauukulan nito 9.
Solong bahay, gawang bahay sa iisang gusali na ninatawag na mansion (condominium). Ano ang kasunduan sa pagbili para sa isang bahay? Ang mga kasunduan sa ordinal na kasunduan ay makakatulong upang matukoy sa kung anong degree ang sa isang format na iskinal na sukatan. Kasunduan sa pagpapaupa ng commercial space. Contextual translation of kasunduan sa pagpapaupa ng bahay into english. Kontrata o kasunduan na bibili ng bahay sa fudousanya. Use the download button below or simple online reader. Kasunduan sa pagpapaupa sa mga kinauukulan nito, ang kasunduang ito ay ginawa at nilagdaan ng p a g p a p a t u n a y : Magbigay ng dokumento mula sa kompanya ng seguro na nagdedetalye na ang kanilang saklaw o kasunduan (settlement) ay tantiya ng kontratista para sa pagpapaayos ng bahay na dulot ng lindol (kung naaangkop) * resibo para sa pagpapagawa o paglilinis * iba pang katibayan ng pagkawala ng. Cortes, pilipino, nasa legal na edad bilang nagpapaupa at manuel baniel, nasa legal na edad, isang pilipino, bilang umuupa. Naghahanap ka ba ng isang kasunduan sa pagpapalagay ng mortgage? Kasunduan sa pagbabayad ng renta. Eto ang realidad nag pagpapagawa ng bahay ng isang ofw.ang mga presyo ng materyales ang paggawa.simulan na natin.
Guys ito na po ang next vlog natin, tara samahan nyo ko mag canvass tayo ng pintuan para sa aming pinagagawang bahay. Kasunduan sa paggamit at pahintulot sa paggamit ng jw.org website. Kasunduan sa pagpapaupa sa mga kinauukulan nito, ang kasunduang ito ay ginawa at nilagdaan ng p a g p a p a t u n a y : Kontrata o kasunduan na bibili ng bahay sa fudousanya. Ang mga kasunduan sa ordinal na kasunduan ay makakatulong upang matukoy sa kung anong degree ang sa isang format na iskinal na sukatan.
Kasunduan Sa Pagpapagawa Ng Bahay Format - KASUNDUAN ... from i2.wp.com Kasunduan sa pagpapaupa sa mga kinauukulan nito, ang kasunduang ito ay ginawa at nilagdaan ng dalawang panig na si rowena b. Ikaw at ang iyong mga kasosyo ay maaaring magtatag ng mga pagbabahagi ng kita (o mga. Ang kasunduang ito ay ginawa at nilagdaan ng dalawang paning ngayong _ ng _, 20____, dito sa tamaraw hills, valenzuela city, nina g. Ang kasunduang ito ay isinasagawa ng mga sumusunod: Kasunduan sa pagpapaupa ng commercial space. Paano bumili ng real estate? Subaybayan ang kwento nila angela at mike. Kasunduan sa paggamit at pahintulot sa paggamit ng jw.org website.
Sa mga kinauukulan nito 9.
Ang mga kasunduan sa ordinal na kasunduan ay makakatulong upang matukoy sa kung anong degree ang sa isang format na iskinal na sukatan. Magbigay ng dokumento mula sa kompanya ng seguro na nagdedetalye na ang kanilang saklaw o kasunduan (settlement) ay tantiya ng kontratista para sa pagpapaayos ng bahay na dulot ng lindol (kung naaangkop) * resibo para sa pagpapagawa o paglilinis * iba pang katibayan ng pagkawala ng. Naghahanap ka ba ng isang kasunduan sa pagpapalagay ng mortgage? Na ang lahat ng pangkaraniwang. Sa mga kinauukulan nito 9. Contextual translation of kasunduan sa pagpapautang ng pera into english. Ang kasunduang ito ay isinasagawa ng mga sumusunod: Kasunduan format / kasunduan sa pagpapaupa : Contextual translation of memorandum ng kasunduan format sample. Kayo ang magbabayad sa pagpapagawa muli ng isa pang susi. Ang kasunduan na ito ay ginawa nina kasunduan na ito, may karapatan ang nagpapaupa na ipawalang saysay ang kasunduan na ito at hingin sa nangungupahan na lisanin o iwanan ang pintong inuupahan.8. Kasunduan sa pagpapaupa sa mga kinauukulan nito, ang kasunduang ito ay ginawa at nilagdaan ng na ang nagpapaupa at ang uupa o umuupa ay nagkasundo na uupahan at papaupahan ang nasabing bahay sa ilalim ng patakaran at alituntunin na gaya ng mga sumusunod. Kasunduan sa pagbabayad ng renta.
Contextual translation of memorandum ng kasunduan format sample. Subaybayan ang kwento nila angela at mike. Contextual translation of kasunduan sa pagpapautang ng pera into english. Use the download button below or simple online reader. Eto ang realidad nag pagpapagawa ng bahay ng isang ofw.ang mga presyo ng materyales ang paggawa.simulan na natin.
Kasunduan Sa Pagpapagawa Ng Bahay Format - Http Www ... from www.zipmatch.com Paano bumili ng real estate? Use the download button below or simple online reader. Magbigay ng dokumento mula sa kompanya ng seguro na nagdedetalye na ang kanilang saklaw o kasunduan (settlement) ay tantiya ng kontratista para sa pagpapaayos ng bahay na dulot ng lindol (kung naaangkop) * resibo para sa pagpapagawa o paglilinis * iba pang katibayan ng pagkawala ng. Contextual translation of memorandum ng kasunduan format sample. Solong bahay, gawang bahay sa iisang gusali na ninatawag na mansion (condominium). Ang mga kasunduan sa ordinal na kasunduan ay makakatulong upang matukoy sa kung anong degree ang sa isang format. Kasunduan sa pagpapaupa ng commercial space. Cortes, pilipino, nasa legal na edad bilang nagpapaupa at manuel baniel, nasa legal na edad, isang pilipino, bilang umuupa.
Kayo ang magbabayad sa pagpapagawa muli ng isa pang susi.
Subaybayan ang kwento nila angela at mike. Kasunduan sa pagbabayad ng renta. Solong bahay, gawang bahay sa iisang gusali na ninatawag na mansion (condominium). Paano makalikha ng isang talagang propesyonal na receive the template in another format, for free! Use the download button below or simple online reader. Kasunduan sa pagpapaupa sa mga kinauukulan nito, ang kasunduang ito ay ginawa at nilagdaan ng na ang nagpapaupa at ang uupa o umuupa ay nagkasundo na uupahan at papaupahan ang nasabing bahay sa ilalim ng patakaran at alituntunin na gaya ng mga sumusunod. Use the download button below or simple online reader. Ang kasunduang ito ay isinasagawa ng mga sumusunod: Eloisa galasi,may sapat na gulang,may asawa at naninirahan sa barangay dicabasan, dilasag, aurora. 8.na ang nasabing bahay paupahan ay hindi gagamitin sa anumang uri ng negosyo na labag sa batas tulad ng sugal at iba pa. Hemegony, loan agreement, debt settlement, pledge agreement. Ang mga kasunduan sa ordinal na kasunduan ay makakatulong upang matukoy sa kung anong degree ang sa isang format na iskinal na sukatan. Kasunduan sa pagpapaupa ng commercial space.